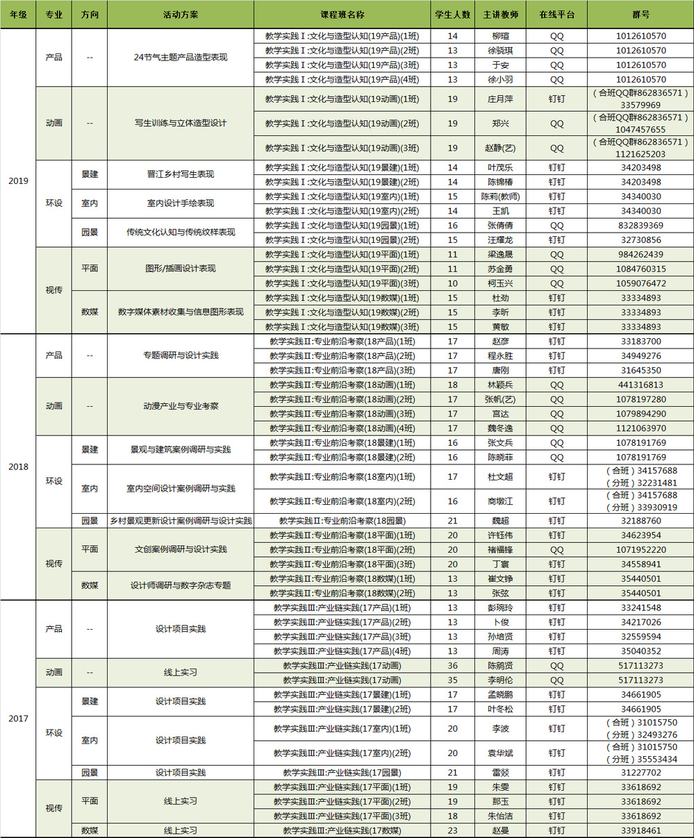
根据学校实践教学周开课工作的通知,艺术设计系研究并制定了本学期各年级专业方向制定的实践教学周在线教学活动方案,计划于本学期19-20周(7月6日至7月17日)开展实践周在线教学。为确保实践教学周在线教学活动的顺利进行,全体任课教师建立了在线课程班,请各位同学根据教务系统中所显示的课程班信息,在6月28日前加入相应的实践教学周在线课程班。具体的在线教学活动方案及日程安排,任课教师将通过在线课程班进一步详细说明。
请注意,全体同学务必仔细检查本人学业统计中实践教学周学分的获取情况,欠缺实践教学周学分的请务必及时联系教学秘书办理重、补修手续,以免影响学业进度。如有问题请及时联系教学秘书咨询,杨老师(办公电话0596-6288518)。

术设计系
2020.6.22